Two-dimensional magnetotelluric modeling using the Meshfree Local Petrov-Galerkin method
-
摘要:
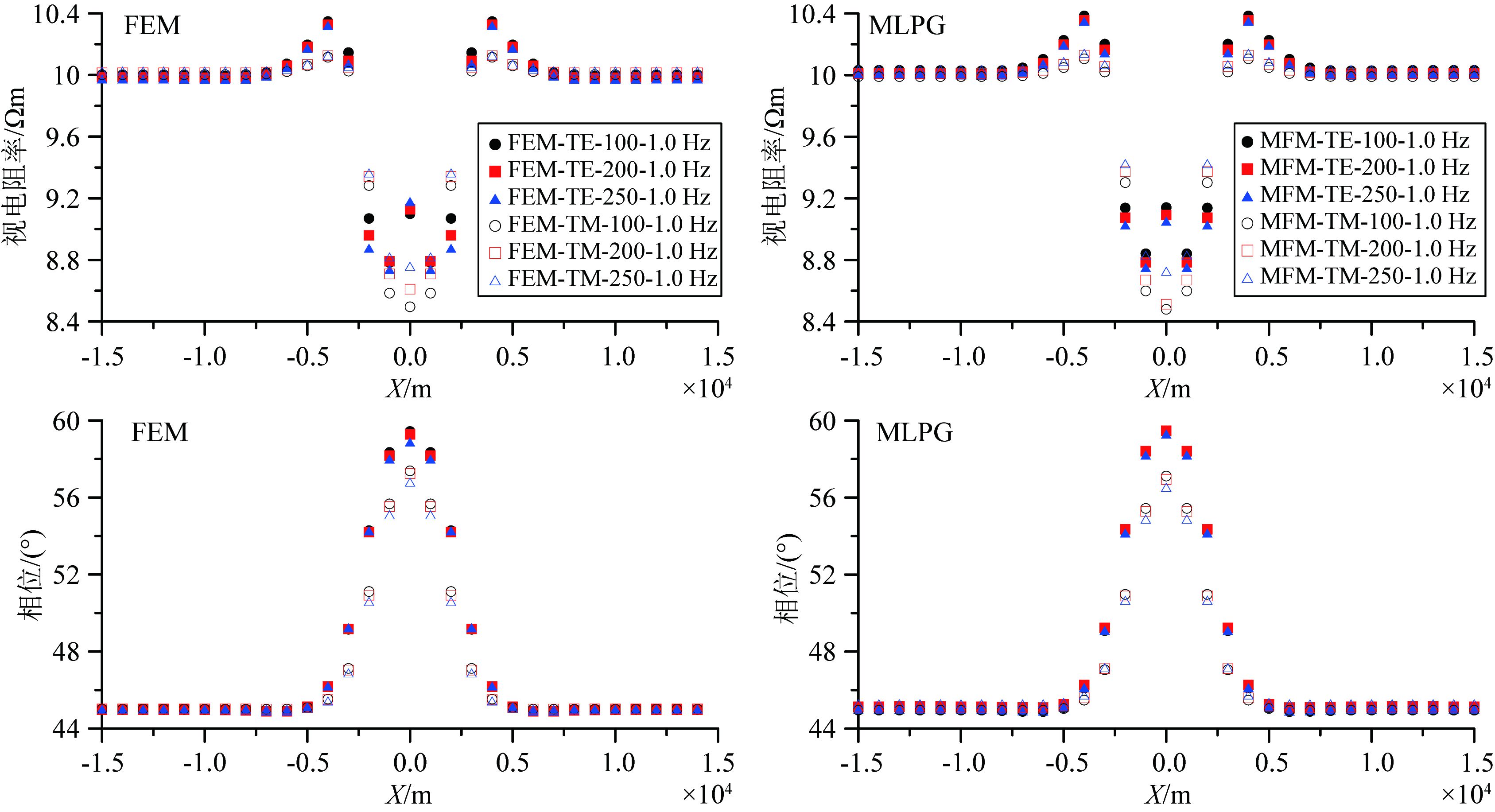
有限差分法和有限单元法在大地电磁场数值模拟中已经得到了广泛的应用,但其数值结果的精度在很大程度上依赖于网格的离散程度.当模拟起伏地形、弯曲界面等复杂地电模型大地电磁场响应时,常常需要花费大量的时间以便得到较合理的离散网格.无网格局部Petrov-Galerkin法(MLPG)不同于有限差分法和有限元法,其形函数和权函数脱离了网格的束缚.本文详细推导了二维大地电磁场边值问题的弱式形式,并将其离散为局部积分域内的表达形式.通过模拟二维海洋地电模型大地电磁场响应,并与结构网格有限元结果进行对比,验证了本文算法和程序的正确性及精度.设计了一个含有弯曲界面的二维地电模型,讨论了不同离散网格对MLPG无网格法模拟结果的影响,并与结构有限元法结果进行了比较,结果表明MLPG无网格法模拟结果受离散网格影响较小.最后利用MLPG无网格法计算了两个海洋起伏地形模型的大地电磁响应,讨论了海底起伏地形对大地电磁响应的影响.
Abstract:The finite difference method (FDM) and the finite element method (FEM) have been widely used in magnetotelluric (MT) modelling, but their accuracy heavily depends on discretized grids. For a complex model with rough topography or curved interfaces, it might take a lot of time to generate a proper mesh for fitting the topography and the interfaces.A new numerical simulation method, called Meshfree Local Petrov-Galerkin method (MLPG), has been proposed to solve this problem.The shape function and the weight function of MLPG are only related to the distance between nodes.This method, at root, overcomes the drawback of the conventional FDM or FEM method that depends on elements. In this work, we transformed the magnetotelluric boundary value problem into a weak form by using the weighted residual method and obtained its discrete form in a local integral domain. By simulating the MT responses of a 2-D conductivity model and comparing the numerical solutions with those from the structured FEM, we have verified the validity and accuracy of this new algorithm. Numerical examples show that the MLPG method is less affected by a grid than the structured FEM. In terms of the MLPG algorithm, we have simulated MT responses of two marine conductivity models with topography and analyzed the modeling results.
-
Key words:
- Magnetotelluric /
- Meshfree method /
- Marine terrain relief
-
-
-
Atluri S N, Zhu T.1998. A new meshless local Petrov-Galerkin (MLPG) approach in computational mechanics.Comput. Mech., 22(2):117-127. doi: 10.1007/s004660050346
Babuska I, Melenk J M.1995. The partition of unity finite element method.DTIC Document. http://www.utc.fr/~chazotje/publis/Articles/The%20Partition%20of%20Unity%20Finite%20Element%20Method%20for%20the%20simulation%20of%20waves%20in%20air%20and%20poroelastic%20media.pdf
Chouteau M, Bouchard K.1988. Two-dimensional terrain correction in magnetotelluric surveys.Geophysics, 53(6):854-862. doi: 10.1190/1.1442520
Coggon J H. 1971. Electromagnetic and electrical modeling by the finite element method. Geophysics, 36, 132-155. doi: 10.1190/1.1440151
Dmitriev V I.1969. Electromagnetic fields in inhomogeneous media.Moscow State Univ. https://www.researchgate.net/publication/286535353_Electromagnetic_Fields_in_Inhomogeneous_Media
Everett M E.2012. Theoretical developments in electromagnetic induction geophysics with selected applications in the near surface.Surv.Geophys., 33(1):29-63. doi: 10.1007/s10712-011-9138-y
Jones FW, Pascoe L J. 1971. A general computer program to determine the perturbation of alternating electric currents in a two-dimensional model of a region of uniform conductivity with an embedded inhomogeneity. Geophys J. Int, 24, 3-30. doi: 10.1111/gji.1971.24.issue-1
Key K, Weiss C.2006. Adaptive finite-element modeling using unstructured grids:The 2D magnetotelluric example.Geophysics, 71(6):G291-G299. doi: 10.1190/1.2348091
Li J M. 2005. Geoelectric Field and Electrical Exploration (in Chinese).Beijing:China University of Geosciences.
Li Y G, Dai S K. 2011. Finite element modelling of marine controlled-source electromagnetic responses in two-dimensional dipping anisotropic conductivity structures.Geophys. J. Int., 185(2):622-636. doi: 10.1111/gji.2011.185.issue-2
Li Y G, Key K.2007. 2D marine controlled-source electromagnetic modeling:Part 1-An adaptive finite-element algorithm.Geophysics, 72(2):WA51-WA62. doi: 10.1190/1.2432262
Li Y G, Pek J.2008. Adaptive finite element modelling of two-dimensional magnetotelluric fields in general anisotropic media.Geophys. J. Int., 175(3):942-954. doi: 10.1111/gji.2008.175.issue-3
Liu G R, Gu Y T.2005. An Introduction to Meshfree Methods and Their Programming.Netherlands:Springer. http://link.springer.com/book/10.1007/1-4020-3468-7
Liu X.2011.Meshfree Method (in Chinese). Beijing:Science Press.
Lucy L B.1977. A numerical approach to the testing of the fission hypothesis.The Astronomical Journal, 82:1013-1024. doi: 10.1086/112164
Mackie R L, Madden T R, Wannamaker P E.1993. Three-dimensional magnetotelluric modeling using difference equations-Theory and comparisons to integral equation solutions.Geophysics, 58(2):215-226. doi: 10.1190/1.1443407
Nayroles B, Touzot G, Villon P.1992. Generalizing the finite element method:diffuse approximation and diffuse elements.Comput. Mech., 10(5):307-318. doi: 10.1007/BF00364252
Oñate E, Idelsohn S, Zienkiewicz O C, et al.1996. A finite point method in computational mechanics. Applications to convective transport and fluid flow.Int. J.Numer. Meth. Eng., 39(22):3839-3866. doi: 10.1002/(ISSN)1097-0207
Schwalenberg K, Edwards R N.2004. The effect of seafloor topography on magnetotelluric fields:an analytical formulation confirmed with numerical results.Geophys. J. Int., 159(2):607-621. doi: 10.1111/gji.2004.159.issue-2
Wannamaker P E, Stodt J A, Rijo L.1986. Two-dimensional topographic responses in magnetotellurics modeled using finite elements.Geophysics, 51(11):2131-2144. doi: 10.1190/1.1442065
Weidelt P.1975. Electromagnetic induction in three-dimensional structures.J. Geophys, 41:85-109. https://www.researchgate.net/publication/272658479_Electromagnetic_Induction_in_Three_Dimensional_Structures_for_Various_Source_Fields
Wei W B.2002. New advance and prospect of Magnetotelluricsounding (MT) in China.Progress in Geophysics (in Chinese), 17(2):245-254.
Wittke J, Tezkan B.2014. Meshfreemagnetotelluric modelling. Geophys. J. Int., 198(2):1255-1268. doi: 10.1093/gji/ggu207
Xu S Z, Zhao S K.1987. Two-dimensional magnetotelluric modelling by the boundary element method.Journal of Geomagnetism and Geoelectricity, 39(11):677-698. doi: 10.5636/jgg.39.677
Xu S Z.1994. Finite Element Methods in Geophysics (in Chinese). Beijing:Science Press.
Xu S Z.1995. Boundary Element Methods in Geophysics (in Chinese). Beijing:Science Press.
Zhao H, Liu Y, Li Y G.2014.Adaptive finite element forward modeling for two-dimensional marine magnetotelluric fields.Oil Geophysical Prospecting (in Chinese), 49(3):578-585. https://www.researchgate.net/publication/285957176_Adaptive_finite_element_forward_modeling_for_two-dimensional_marine_magnetotelluric_fields
李金铭.2005.地电场与电法勘探.北京:地质出版社.
刘欣.2011.无网格方法.北京:科学出版社.
魏文博.2002.我国大地电磁测深新进展及瞻望.地球物理学进展, 17(2):245-254. http://www.cnki.com.cn/Article/CJFDTOTAL-DQWJ200202008.htm
徐世浙.1994.地球物理中的有限单元法.北京:科学出版社.
徐世浙.1995.地球物理中的边界单元法.北京:科学出版社.
赵慧, 刘颖, 李予国.2014.自适应有限元海洋大地电磁场二维正演模拟.石油地球物理勘探, 49(3):578-585. http://www.cnki.com.cn/Article/CJFDTOTAL-SYDQ201403032.htm
-

下载: